["Open Mike" is the often off-topic, anything-goes Editorial Page of TOP, in which the Editor indulges himself slightly more than usual on whatever happens to be on his mind. It usually appears on Wednesdays. Oh well, maybe it doesn't usually.]
-
It's amazing how effectively false "facts" can suppress the truth under the right conditions. Propaganda (currently also called "fake news," although that charge is often hurled, gaslighter-style, against real news) has real reach and power.
For example: almost all Americans believe that it's important to get protein, that protein is an urgent dietary need. They'll also tell you that protein only comes from meat and dairy, and that it's impossible to get enough protein from plants except by combining specific ingredients in cunning and exacting combinations. You know, just the sort of mad-scientist thing whacky pinko vegetarians who look like goth zombies would do.
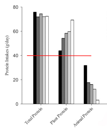
All false, false, wrong and false, dead-flesh-breath. The result of an enormous study published in the Journal of the Academy of Nutrition and Dietetics in 2013 put paid to that. The study was titled "Nutrient profiles of vegetarian and nonvegetarian dietary patterns" and here's a short clip from the abstract: "We conducted a cross-sectional study of 71,751 subjects (mean age=59 years) from the Adventist Health Study 2. Data were collected between 2002 and 2007. Participants completed a 204-item validated semi-quantitative food frequency questionnaire. Dietary patterns compared were nonvegetarian [in black on the graph], semi-vegetarian [lighter gray], pesco vegetarian [middle gray of the five], lacto-ovo vegetarian [lightest gray], and strict vegetarian [white]."
Keeping in mind that your daily need for protein is ~40 grams (the red line), have a look:
With more than 71,000 people in the study, it turns out that Americans on all sorts of diets get almost twice as much protein as they need. Even comparing red-meat-and-dairy eaters to strict vegetarians, the levels are as close to each other as makes no difference. In fact, only about 3% of the U.S. population gets less than 40 grams of protein a day, probably because for one reason or another they don't get enough calories period. And the intake of many of those does not fall low enough to make it into protein deficiency, which affects about a billion of the world's poorest inhabitants but has a very low incidence in the Western world.
As the graph makes clear, protein is not a problem. We get more than enough protein regardless of our dietary preferences. And yet, most people still think you have to work at getting enough protein and eat specific things (meat and dairy) to get it. You don't. As the Physicians Committee for Responsible Medicine puts it, "A varied plant-based diet of whole grains, vegetables, and beans can easily meet your daily protein needs, without the risks of animal products." In fact, far from requiring a strategized diet to get enough protein and all the essential amino acids from plants alone, it's almost impossible to devise a varied diet from whole plants that would get you down to the daily protein requirement, much less below it.
Even on the strictest whole-plant-only diet, the only thing you ever need to supplement is vitamin B-12.
But wait, what was that line in the quote about "the risks of animal products"?
The Physicians Committee for Responsible Medicine continues, "...when it comes to protein, more isn’t always better. One study found that people eating large amounts of animal protein have 23 times the risk of death from diabetes and 5 times the risk of death from cancer as those consuming less protein."
Guinea-pig Mike
Of course, whether you believe any of this this or not, the huge majority of Americans will go right on believing that they have to eat meat and dairy to get protein and that getting enough protein is something they need to work at. It's the result of what amounts to a long-term propaganda campaign by the meat and dairy industries. A form of advertisement for their products, that's all. There's no truth in it.
As for me, I'm on Day 21 of my strict plants-only experiment, which started five days before I last wrote an "Open Mike" on this topic. No meat, no dairy, no sugar. If I eat out it's vegetarian or nothing. Some of the "gurus" I mentioned in that last post say that people on WFPB diets tend to lose lots of weight quickly, then reach their body's natural set-point and stick there. "We see it again and again," says Dr. John McDougall, who runs a WFPB spa in Santa Rosa, California. I'll let you know what happens in my case—I'm doing this so I can tell you what happens. So far, I've lost 7.5 pounds, and my food cravings have settled down very noticeably. The only food I restrict is the dates I eat for dessert—I allow myself no more than three a day. Otherwise, I'm eating all I want, and I'm never hungry.
I hope to be able to report back to you about my personal experiment in two to five months, depending on how long I stick with it. But so far so good. I'm enjoying it.
And I'm not worried about whether I'm getting enough protein.
Mike
Source: NutritionFacts.org
Footnote 1: The article mentioned can be found in published, citable form at https://jandonline.org/article/S2212-2672(13)01113-1/fulltext, and is available free in author manuscript form at PubMed Central (PMC) at https://www.ncbi.nlm.nih.gov/pmc/articles/PMC4081456/. I searched high and low for republication guidelines for that chart, and after fighting my way through layers of verbal thickets ended up frustrated. I'm publishing only a detail (portion) of one illustration (the graph above) claiming Fair Use, and if requested to do so by any legitimate rights holder (formally, by DMCA Takedown Notice, or informally) I'll remove it. —Ed.
Original contents copyright 2019 by Michael C. Johnston and/or the bylined author. All Rights Reserved. Links in this post may be to our affiliates; sales through affiliate links may benefit this site.
(Not) everything must fade away
(To see all the comments, click on the "Comments" link below.)
Featured Comments from:
Scott: "'New Dietary Guidelines Urge Less Sugar for All and Less Protein for Boys and Men':
'New federal dietary guidelines announced on Thursday urge Americans to drastically cut back on sugar, and for the first time have singled out teenage boys and men for eating too much meat, chicken and eggs.'
'The biggest surprise in the guidelines was the conclusion that teenage boys and men were generally consuming too much protein. As a result, the guidelines recommend that men and boys "reduce their overall intake of protein foods" such as meat, poultry and eggs and add more vegetables to their diets.'
"I boycott cruelty products and I never have to worry about protein."
Dwight: "I'm a life-long vegetarian and long-time vegan. I have never paid attention to protein. I've never consciously combined foods to get a 'complete' protein. I'm 60 years old with absolutely no health problems and no medications needed. Two of my coworkers recently thought I was in my late 40s."




Thanks for doing the experiment, Mike. I'm certainly tempted...
Posted by: JimK | Friday, 05 April 2019 at 03:50 PM
"Keeping in mind that your daily need for protein is ~40 grams (the red line), have a look:"
This protein thing is a concern of mine, because I'm 75 years old and I'm suffering, as all older people do, from sarcopenia, which is the wasting away of muscle mass that comes with age. Sarcopenia sets in around age 50, and worsens as you get older. If you're not sure what it looks like, consider the phrase, "old man's butt." Older men often seem to have no butt, because the glutes have lost so much muscle mass.
You can fight sarcopenia with a serious exercise program, and you also must get enough protein. You ability to use protein also declines as you get older, so you need more than a person who is middle aged. (My information comes from the Mayo Clinic, both in person and from their health website.) I'm told that a person of my age, size, sex and activity level needs about 1.2 grams of protein per day per kilo of weight. (Kilos = your weight in pounds divided by 2.2.) I weigh 86 kilos, so I need about 103 grams of protein a day. I make sure I get it by drinking a protein-enhanced smoothie every morning, along with my regular vegetarian diet.
There really is no magic number of grams of protein that a person should ingest -- it certainly isn't the same for, say, a sedentary 105-pound woman and an athletic 200 -pound man.
In any case, it's a complicated situation. Here's a link to what the Mayo says:
https://newsnetwork.mayoclinic.org/discussion/are-you-getting-too-much-protein/
Posted by: John Camp | Friday, 05 April 2019 at 04:38 PM
Actually total protein is not the important point here but rather the availability of the 9 essential amino acids that you need to get from food. Animal proteins (meat, fish, chicken etc) have all of the essential amino acids that you need. Beans for example have little methionine while rice has little lysine. Eat both together and you should be OK. I think this is the basis of folks thinking you have to work to get complete amino acid profiles on a vegan diet. You do have to work, not terribly hard but you do have to work at it.
Posted by: Bill Van Antwerp | Friday, 05 April 2019 at 04:50 PM
The people telling you that you need to eat that much meat are basically the same ones telling you windmills cause cancer.
Posted by: Steve | Friday, 05 April 2019 at 05:09 PM
My immunologist is Hindu (lactovegetarians). The doctor recommends that I eat bacon or sausage (meat), yogurt (dairy) and peanut butter (plant) on toast/biscuits for breakfast. My medical problems heal best on a high protein diet.
BTW I'm losing weight with this diet. BTW 2 I don't eat any sweets
Posted by: c.d.embrey | Friday, 05 April 2019 at 05:10 PM
I assume we are not distinguishing complete vs incomplete proteins in this discussion. Do we not regard this distinction as important? Which amino acids do we figure we can do without?
[That's a myth. All the amino acids we need are present in plants. You just have to eat a variety of them, which of course every eater does. In fact all 22 amino acids COME FROM plants in the first place. The only reason amino acids are present in meat is that livestock eats plants too. You can do it yourself and simply skip the middlecow.
Here's a video on that:
https://nutritionfacts.org/video/the-protein-combining-myth/
--Mike]
Posted by: John | Friday, 05 April 2019 at 06:47 PM
Good One! I have been saying "protein is overrated" for 50 years. Just get looks. I have been vegetarian since about age 12, and vegan( not too obsessively strict though, oh the attraction of cheese) for maybe 10 years.
As a food conscious hippies we were strongly against all dairy. Cheese is one of the worst things you can eat but sooooo good and difficult to avoid.
Love it. I mean todays post, not cheese, though I love it too.
I like when you talk diet, it has always been a subject of great interest. Keep us posted on how you feel. Plants includes beans?
Posted by: Ken James | Friday, 05 April 2019 at 07:16 PM
I think you're right on track Mike. I have never commented on posts about diet because of the opinion and misinformation that abounds, but I have been a vegetarian for almost 40 years and my health has been consistently better than everyone else around me - in fact I haven't had to see a doctor in over 50 years, ever. I do a lot for my health though, and have studied and practiced herbalism, yoga, exercise and nutrition and I have never been concerned with getting enough protein or combining foods. It is, as we say in Australia, a complete furphy. You just need to get a variety of plant based foods into you and luckily for me there isn't a fruit or vegetable I don't like and not many I haven't tried either. You wouldn't ask a gorilla "where do you get your protein from" so why is it common to ask a human vegetarian this? The answer is "from my food of course, where else?". Too much protein contributing to a higher incidence of cancer and diabetes (amongst other things) has been known to me ever since I studied (alternative) nutrition so it's certainly not new either.
As far as sarcopenia is concerned John, there are a few other issues to be considered. Firstly, exercise is what maintains muscle mass as long as nutrition remains adequate, but nutrition is dependent upon good digestion which also deteriorates with age and the rate of deterioration depends on how the digestion has been treated in younger life. Most diseases/conditions can be traced back to poor digestion so improving that is paramount to utilise the protein consumed. Medicine often sees these things the wrong way around as far as I'm concerned - if you have eaten too much protein for most of your life and subsequently forcibly increased muscle mass beyond what would have occurred on a lower protein diet then the baseline for your body's muscle mass has been distorted. It's "natural" state would have less muscle (but more compact and efficient) and would suffer far less from sarcopenia later. This is probably a consequence of the western bigger is better mentality and our general over abundance of food that leads to overeating being so common. Eating more, including protein, doesn't usually help. Digesting more does.
I could go on but fear I have already carried on too much, so I will finish with a quote that is supposedly from an inscription on an ancient Egyptian tomb.
"A quarter of what you eat keeps you alive. The other three quarters keeps your doctor alive."
Posted by: Kefyn Moss | Friday, 05 April 2019 at 11:08 PM
A diet of just two vegetables, peas and brown rice, provides all the essential amino acids. With those, you can make all the other amino acids and proteins. You don't need meat or dairy at all.
Posted by: Edward Taylor | Saturday, 06 April 2019 at 12:05 AM
Mike wrote, "They'll also tell you that protein only comes from meat and dairy, and that it's impossible to get enough protein from plants except by combining specific ingredients in cunning and exacting combinations."
"They" are ignoring some of the world's largest herbivorous mammals including camels, giraffes, horses, elephants and a very large and imposing primate … the gorilla. As far as I know none have been seen shopping at a General Nutrition store.
Posted by: Speed | Saturday, 06 April 2019 at 12:16 AM
'The Physicians Committee for Responsible Medicine is a non-profit research and advocacy organization based in Washington, D.C., which promotes a vegan diet, preventive medicine, and alternatives to animal research...' - from their website header that comes up in a Google search for them. There's always an angle, and sometimes a vested interest. Just sayin', as you say.
[Well, you found them out, the crafty buggers. Just because they're trying to do good in the world as a NON-PROFIT they're a vested interest? "Vested interest: a personal stake or involvement in an undertaking or state of affairs, especially one with an expectation of financial gain." For Pete's sake, Andy. I'm guessing you're one of those people who believe there's no such thing as altruism. --Mike]
Posted by: Andy Sheppard | Saturday, 06 April 2019 at 06:29 AM
I have a pet hate of posts which end "Just sayin'" or "Just saying". It's almost always the case that that "Just saying" can be substituted with just applying some ad hominem, straw man or other misdirection.
Posted by: Paul Farr | Saturday, 06 April 2019 at 11:07 AM
I'm not sure such a big study was necessary. Fortunately, we don't see too many people in the US walking around with Kwashiorkor. I'm just sayin'. I am on a similar experiment for health reasons except I occasionally eat a bit of fish. I am also down 7 pounds in one month.
Posted by: Steve Rosenblum | Saturday, 06 April 2019 at 11:15 AM
Digestion—probiotics are insisted upon by my Hindu Immunologist. They replace what's killed by antibiotics. How many TOP readers have taken antibiotics recently? Eat any shrimp recently? Factory farming has introduced antibiotics into the ecosystem. Overuse of antibiotics in farming is a major new threat to human health, says UN https://bit.ly/2zNIi9z
Too much muscle mass—I've walked 5 miles a day for most of my life. Working in the movie biz required me to lift fifty to one-hundred-fifty pound objects every day for thirty years. I've never been a couch potato. I didn't (still don't) watch sports on TV—I participated in them.
A persons diet has become become like a religion. Lots of bigotry and dissent, plus much fake news. Joseph Goebbels would be proud of what the internet has become.
I'm not my brothers keeper—I do not have the messianic gene. Eat whatever pleases you. Buy any car or camera you want. I doesn't effect me. I'll continue to eat meat, lima beans and hominy as I have done my entire life. I don't have diabetes or high cholesterol. I'm not lactose intolerant, nor am I allergic to peanuts or any other foods.
And so it goes.
Posted by: c.d.embrey | Saturday, 06 April 2019 at 01:15 PM
Also don't forget to factor in the environmental impact of meat and dairy production when deciding on healthy choices (i.e healthy for the planet). Unfortunately capitlaism marches to a different tune
Posted by: Richard Tugwell | Saturday, 06 April 2019 at 02:02 PM
I’ve been a lacto ovo vegetarian for several years now, and am as healthy as I have ever been. My heart function (I had a congestive heart attack in 2002) has improved by over 50% from that baseline, though there are other factors, of course.
I don’t worry about protein, but then I do eat dairy and eggs - I am intent on mastering the perfect French omelette a la Jacques Pépin! And I love cheeses, so I don’t really have to focus too much on a mix of vegetable intake, though I know I should do better - thanks for the prodding, Mike! Fortunately I absolutely love rice and beans, and have a wide range of hot sauces that make for increased variety.
I have meat maybe twice a year, either for special occasions where I don’t want to make a “scene” for a host/hostess, or a good dinner out with a prix fixe menu where substitutions would be very impractical.
Aside from improved health (and I DO admit to not getting enough exercise, especially in Winter,) my biggest reasons for becoming a vegetarian were spiritual, ecological and ethical. The meat protein industry is cruel and an ecological disaster.
Posted by: Earl Dunbar | Sunday, 07 April 2019 at 11:05 AM